PHC_Europe_logo

Ultracongeladores Híbridos

Ultracongelador Híbrido MDF-DU702VHW-PE

Capacidad efectiva
729 L
Rendimiento de enfriamiento
–86 °C

Características

Almacenamiento de muestras ecológico y que permite ahorrar costes con un óptimo uso del espacio

El ultracongelador híbrido MDF-DU702VHW-PE con refrigerantes naturales reduce al mínimo el consumo de energía, reduce el impacto ambiental y permite ahorrar dinero. La innovadora tecnología y la certificación de dispositivos médicos de clase IIa proporcionan un almacenamiento seguro para las valiosas muestras clínicas y de investigación.

Refrigeración eficiente y ecológica

Los hidrocarburos naturales como refrigerantes ofrecen una refrigeración más eficiente debido a su elevado calor latente de evaporación. Combinado con una mejora del rendimiento, esto da lugar en una reducción del consumo de energía y los costes energéticos. Ideal para laboratorios que buscan reducir su huella de carbono y el impacto ambiental para cumplir con las políticas de sostenibilidad.

Tecnología de inversores y almacenamiento de muestras uniforme

El ultracongelador híbrido MDF-DU702VHW contiene compresores inverter que maximizan el rendimiento de refrigeración en diferentes condiciones y ayudan a reducir el consumo de energía del congelador. Mientras los congeladores convencionales usan compresores de una sola velocidad que se encienden y apagan de forma cíclica, el ultracongelador híbrido MDF-DU702VHW contiene compresores inverter que pueden funcionar a diferentes velocidades para maximizar el rendimiento de refrigeración en diferentes condiciones. Combinado con hidrocarburos como refrigerantes, estos compresores garantizan el uso de energía más eficiente y una menor salida de calor.

Los compresores inversores proporcionan una estabilidad óptima, mientras que la calidad del diseño garantiza la fiabilidad. Ideal para muestras que son sensibles a las fluctuaciones de temperatura.

Interfaz inteligente y fácil supervisión de datos

El cierre EZlatch facilita aún más el acceso a las muestras almacenadas. Un panel táctil LCD a color permite que el usuario tenga un control absoluto, incluso si utiliza guantes, mientras que el puerto USB hace que la transferencia de los datos registrados a un ordenador sea cómoda y sencilla. La información importante, como la temperatura del congelador, el tiempo de apertura de la puerta y el historial de alarmas se registra para las aplicaciones de GLP y supervisión.

Almacenamiento de muestras eficiente y flexible

La combinación de un aislamiento por vacío VIP PLUS y un diseño de la cámara mejorado con una puerta exterior aislada garantiza la homogeneidad de una temperatura óptima, mientras la reducción del grosor de la pared maximiza la capacidad de almacenamiento. Diversas configuraciones de los estantes permiten varias opciones de almacenamiento. Organice sus muestras transfiriendo sus gradillas de archivo actuales.

La tecnología con enfriamiento por agua híbrida de PHCbi en congeladores criogénicos y congeladores de temperatura ultrabaja VIP mejora la eficiencia del compresor. El consumo de energía de un ULT híbrido se puede reducir por lo general entre 10~12 % en comparación con el modelo con enfriamiento por aire equivalente.

 

Solicite presupuesto


Ventajas

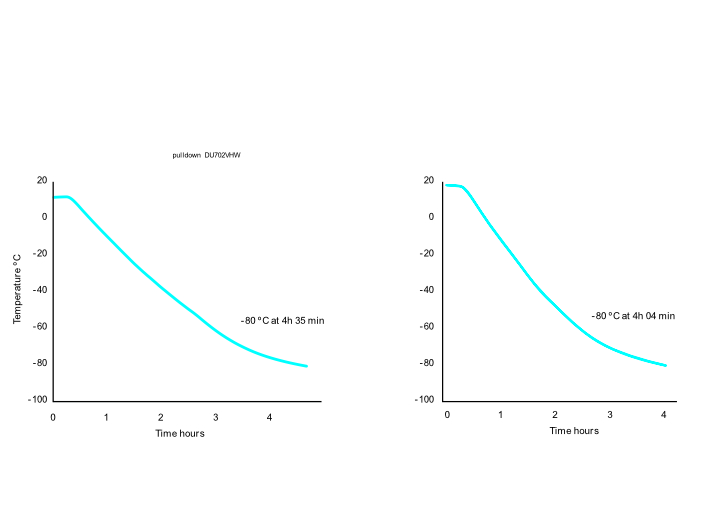
  • Nuestro congelador con mayor eficiencia energética: 700 litros, –86 °C y – 7,7 kWh
  • Una menor generación de calor significa ahorros en climatización
  • Reducción de la huella de carbono
  • Aislamiento VIP PLUS
  • Disposición flexible de los estantes
  • Interfaz inteligente
  • Diseño innovador de la cámara
  • Dispositivo médico de clase IIa

Características

  • Refrigerantes naturales
  • Cierre EZlatch
  • Pantalla táctil LCD
  • Puerto USB
  • Compresores inversores
  • 729 litros
  • 576 cajas de 2"

Rendimiento

Fotos de los productos

Especificaciones

Dimensiones externas (An. x Pr. x Al.) 1030 x 882 x 1993 mm
Dimensiones internas (An. x Pr. x Al.) 870 x 600 x 1400 mm
Volumen 729 litres
Peso neto (aprox.) 278 kg
Capacidad (Cajas de 2”) 576 (2” boxes)
Capacidad (Racks de acero inoxidable para cajas de 2”) 576 (2” boxes)
Rendimiento de la refrigeración -86 °C
Intervalo de ajuste de temperatura -50 to -90 °C
Intervalo del control de temperatura -50 to -86 °C
Controlador Microprocessor, non-volatile memory
Pantalla LCD Touch Screen
Sensor de temperatura Pt-1000
Sistema de refrigeración Cascade
Compresores 2 x 750 W
Refrigerante HC
Material de aislamiento PUF / VIP Plus
Material exterior Painted Steel
Material interior Painted Steel
Cierre de la puerta 1
Cierre de la puerta exterior Y
Tapa/puerta interna 2
Estantes 3
Carga máx. total 515 kg
Puerto de acceso 3
Posición del puerto de acceso back x 1, bottom x 2
Diámetro del puerto de acceso 17
Ruedas 4 (2 leveling feet)
Fallo de alimentación V-B-R
Temperatura alta V-B-R
Temperatura Baja V-B-R
Filtro V-B
Puerta abierta V-B
Fuente de alimentación 230 V
Frecuencia 50 Hz
Nivel de ruido 52 dB [A]

Accessories

Options
Small Inner Door Kit set of 5 MDF-7ID5-PW
Small Inner Door Kit set of 4 MDF-7ID4-PW
Liquid CO2 back-up MDF-UB7-PW
Temperature recorders  
- Circular type MTR-G85C-PE
- Chart paper RP-85-PW
- Ink pen DF-38FP-PW
- Continuous strip type MTR-85H-PW
- Recorder housing MDF-S3085-PW

Dimensiones

Descargas